About the Project
14 Legendre and Related FunctionsReal Arguments

Β§14.15 Uniform Asymptotic Approximations

Contents
  1. Β§14.15(i) Large ΞΌ, Fixed Ξ½
  2. Β§14.15(ii) Large ΞΌ, 0≀ν+12≀(1βˆ’Ξ΄)⁒μ
  3. Β§14.15(iii) Large Ξ½, Fixed ΞΌ
  4. Β§14.15(iv) Large Ξ½, 0≀μ≀(1βˆ’Ξ΄)⁒(Ξ½+12)
  5. Β§14.15(v) Large Ξ½, (Ξ½+12)⁒δ≀μ≀(Ξ½+12)/Ξ΄

Β§14.15(i) Large ΞΌ, Fixed Ξ½

For the interval βˆ’1<x<1 with fixed Ξ½, real ΞΌ, and arbitrary fixed values of the nonnegative integer J,

14.15.1 π–―Ξ½βˆ’ΞΌβ‘(Β±x)=(1βˆ“x1Β±x)ΞΌ/2⁒(βˆ‘j=0Jβˆ’1(Ξ½+1)j⁒(βˆ’Ξ½)jj!⁒Γ⁑(j+1+ΞΌ)⁒(1βˆ“x2)j+O⁑(1Γ⁑(J+1+ΞΌ)))

as ΞΌβ†’βˆž, uniformly with respect to x. In other words, the convergent hypergeometric series expansions of π–―Ξ½βˆ’ΞΌβ‘(Β±x) are also generalized (and uniform) asymptotic expansions as ΞΌβ†’βˆž, with scale 1/Γ⁑(j+1+ΞΌ), j=0,1,2,…; compare Β§2.1(v).

Provided that ΞΌβˆ’Ξ½βˆ‰β„€ the corresponding expansions for 𝖯νμ⁑(x) and π–°Ξ½βˆ“ΞΌβ‘(x) can be obtained from the connection formulas (14.9.7), (14.9.9), and (14.9.10).

For the interval 1<x<∞ the following asymptotic approximations hold when ΞΌβ†’βˆž, with Ξ½ (β‰₯βˆ’12) fixed, uniformly with respect to x:

14.15.2 PΞ½βˆ’ΞΌβ‘(x)=1Γ⁑(ΞΌ+1)⁒(2⁒μ⁒uΟ€)1/2⁒KΞ½+12⁑(μ⁒u)⁒(1+O⁑(1ΞΌ)),
14.15.3 𝑸νμ⁑(x)=1ΞΌΞ½+(1/2)⁒(π⁒u2)1/2⁒IΞ½+12⁑(μ⁒u)⁒(1+O⁑(1ΞΌ)),

where u is given by (14.12.10). Here I and K are the modified Bessel functions (Β§10.25(ii)).

For asymptotic expansions and explicit error bounds, see Dunster (2003b) and Gil et al. (2000). See also Temme (2015, Chapter 29).

Β§14.15(ii) Large ΞΌ, 0≀ν+12≀(1βˆ’Ξ΄)⁒μ

In this and subsequent subsections Ξ΄ denotes an arbitrary constant such that 0<Ξ΄<1.

As ΞΌβ†’βˆž,

14.15.4 π–―Ξ½βˆ’ΞΌβ‘(x)=1Γ⁑(ΞΌ+1)⁒(1βˆ’Ξ±2)βˆ’ΞΌ/2⁒(1βˆ’Ξ±1+Ξ±)(Ξ½/2)+(1/4)⁒(px)1/2⁒eβˆ’ΞΌβ’Οβ’(1+O⁑(1ΞΌ)),

uniformly with respect to x∈(βˆ’1,1) and Ξ½+12∈[0,(1βˆ’Ξ΄)⁒μ], where

14.15.5 Ξ±=Ξ½+12ΞΌ(<1),
14.15.6 p=x(Ξ±2⁒x2+1βˆ’Ξ±2)1/2,

and

14.15.7 ρ=12⁒ln⁑(1+p1βˆ’p)+12⁒α⁒ln⁑(1βˆ’Ξ±β’p1+α⁒p).

With the same conditions, the corresponding approximation for π–―Ξ½βˆ’ΞΌβ‘(βˆ’x) is obtained by replacing eβˆ’ΞΌβ’Ο by eμ⁒ρ on the right-hand side of (14.15.4). Approximations for 𝖯νμ⁑(x) and π–°Ξ½βˆ“ΞΌβ‘(x) can then be achieved via (14.9.7), (14.9.9), and (14.9.10).

Next,

14.15.8 PΞ½βˆ’ΞΌβ‘(x)=(2⁒μπ)1/2⁒1Γ⁑(ΞΌ+1)⁒(1βˆ’Ξ±1+Ξ±)(Ξ½/2)+(1/4)⁒(1βˆ’Ξ±2)βˆ’ΞΌ/2Γ—(Ξ±2+Ξ·2Ξ±2⁒(x2βˆ’1)+1)1/4⁒KΞ½+12⁑(μ⁒η)⁒(1+O⁑(1ΞΌ)),
14.15.9 𝑸νμ⁑(x)=(Ο€2)1/2⁒(eΞΌ)Ξ½+(1/2)⁒(1βˆ’Ξ±1+Ξ±)ΞΌ/2⁒(1βˆ’Ξ±2)βˆ’(Ξ½/2)βˆ’(1/4)Γ—(Ξ±2+Ξ·2Ξ±2⁒(x2βˆ’1)+1)1/4⁒IΞ½+12⁑(μ⁒η)⁒(1+O⁑(1ΞΌ)),

uniformly with respect to x∈(1,∞) and Ξ½+12∈[0,(1βˆ’Ξ΄)⁒μ]. Here Ξ± is again given by (14.15.5), and Ξ· is defined implicitly by

14.15.10 α⁒ln⁑((Ξ±2+Ξ·2)1/2+Ξ±)βˆ’Ξ±β’lnβ‘Ξ·βˆ’(Ξ±2+Ξ·2)1/2=12⁒ln⁑((1+Ξ±2)⁒x2+1βˆ’Ξ±2βˆ’2⁒x⁒(Ξ±2⁒x2βˆ’Ξ±2+1)1/2(x2βˆ’1)⁒(1βˆ’Ξ±2))+12⁒α⁒ln⁑(Ξ±2⁒(2⁒x2βˆ’1)+1+2⁒α⁒x⁒(Ξ±2⁒x2βˆ’Ξ±2+1)1/21βˆ’Ξ±2).

The interval 1<x<∞ is mapped one-to-one to the interval 0<η<∞, with the points x=1 and x=∞ corresponding to η=∞ and η=0, respectively. For asymptotic expansions and explicit error bounds, see Dunster (2003b).

Β§14.15(iii) Large Ξ½, Fixed ΞΌ

For Ξ½β†’βˆž and fixed ΞΌ (β‰₯0),

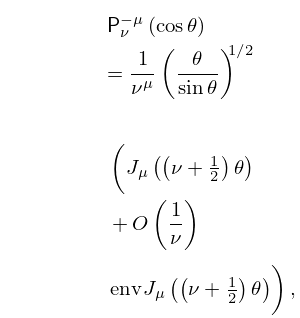
14.15.11 π–―Ξ½βˆ’ΞΌβ‘(cos⁑θ) =1νμ⁒(ΞΈsin⁑θ)1/2⁒(Jμ⁑((Ξ½+12)⁒θ)+O⁑(1Ξ½)⁒env⁑Jμ⁑((Ξ½+12)⁒θ)),
14.15.12 π–°Ξ½βˆ’ΞΌβ‘(cos⁑θ) =βˆ’Ο€2⁒νμ⁒(ΞΈsin⁑θ)1/2⁒(Yμ⁑((Ξ½+12)⁒θ)+O⁑(1Ξ½)⁒env⁑Yμ⁑((Ξ½+12)⁒θ)),

uniformly for θ∈(0,Ο€βˆ’Ξ΄]. For the Bessel functions J and Y see Β§10.2(ii), and for the env functions associated with J and Y see Β§2.8(iv).

Next,

14.15.13 PΞ½βˆ’ΞΌβ‘(cosh⁑ξ) =1νμ⁒(ΞΎsinh⁑ξ)1/2⁒Iμ⁑((Ξ½+12)⁒ξ)⁒(1+O⁑(1Ξ½)),
14.15.14 𝑸νμ⁑(cosh⁑ξ) =νμΓ⁑(Ξ½+ΞΌ+1)⁒(ΞΎsinh⁑ξ)1/2⁒Kμ⁑((Ξ½+12)⁒ξ)⁒(1+O⁑(1Ξ½)),

uniformly for ξ∈(0,∞).

For asymptotic expansions and explicit error bounds, see Olver (1997b, Chapter 12, Β§Β§12, 13) and Jones (2001). For convergent series expansions see Dunster (2004). See also Temme (2015, Chapter 29).

See also Olver (1997b, pp.Β 311–313) and Β§18.15(iii) for a generalized asymptotic expansion in terms of elementary functions for Legendre polynomials Pn⁑(cos⁑θ) as nβ†’βˆž with ΞΈ fixed.

Β§14.15(iv) Large Ξ½, 0≀μ≀(1βˆ’Ξ΄)⁒(Ξ½+12)

As Ξ½β†’βˆž,

14.15.15 π–―Ξ½βˆ’ΞΌβ‘(x)=β⁒(yβˆ’Ξ±21βˆ’Ξ±2βˆ’x2)1/4⁒(Jμ⁑((Ξ½+12)⁒y1/2)+O⁑(1Ξ½)⁒env⁑Jμ⁑((Ξ½+12)⁒y1/2)),
14.15.16 π–°Ξ½βˆ’ΞΌβ‘(x)=βˆ’Ο€β’Ξ²2⁒(yβˆ’Ξ±21βˆ’Ξ±2βˆ’x2)1/4⁒(Yμ⁑((Ξ½+12)⁒y1/2)+O⁑(1Ξ½)⁒env⁑Yμ⁑((Ξ½+12)⁒y1/2)),

uniformly with respect to x∈[0,1) and μ∈[0,(1βˆ’Ξ΄)⁒(Ξ½+12)]. For Ξ±, Ξ², and y see below.

Next,

14.15.17 PΞ½βˆ’ΞΌβ‘(x)=β⁒(Ξ±2βˆ’yx2βˆ’1+Ξ±2)1/4⁒Iμ⁑((Ξ½+12)⁒|y|1/2)⁒(1+O⁑(1Ξ½)),
14.15.18 𝑸νμ⁑(x)=1β⁒Γ⁑(Ξ½+ΞΌ+1)⁒(Ξ±2βˆ’yx2βˆ’1+Ξ±2)1/4⁒Kμ⁑((Ξ½+12)⁒|y|1/2)⁒(1+O⁑(1Ξ½)),

uniformly with respect to x∈(1,∞) and μ∈[0,(1βˆ’Ξ΄)⁒(Ξ½+12)]. In (14.15.15)–(14.15.18)

14.15.19 Ξ±=ΞΌΞ½+12(<1),
14.15.20 Ξ²=eμ⁒(Ξ½βˆ’ΞΌ+12Ξ½+ΞΌ+12)(Ξ½/2)+(1/4)⁒((Ξ½+12)2βˆ’ΞΌ2)βˆ’ΞΌ/2,

and the variable y is defined implicitly by

14.15.21 (yβˆ’Ξ±2)1/2βˆ’Ξ±β’arctan⁑((yβˆ’Ξ±2)1/2Ξ±)=arccos⁑(x(1βˆ’Ξ±2)1/2)βˆ’Ξ±2⁒arccos⁑((1+Ξ±2)⁒x2βˆ’1+Ξ±2(1βˆ’Ξ±2)⁒(1βˆ’x2)),
x≀(1βˆ’Ξ±2)1/2, yβ‰₯Ξ±2,

and

14.15.22 (Ξ±2βˆ’y)1/2+12⁒α⁒ln⁑|y|βˆ’Ξ±β’ln⁑((Ξ±2βˆ’y)1/2+Ξ±)=ln⁑(x+(x2βˆ’1+Ξ±2)1/2(1βˆ’Ξ±2)1/2)+Ξ±2⁒ln⁑((1βˆ’Ξ±2)⁒|1βˆ’x2|(1+Ξ±2)⁒x2βˆ’1+Ξ±2+2⁒α⁒x⁒(x2βˆ’1+Ξ±2)1/2),
xβ‰₯(1βˆ’Ξ±2)1/2, y≀α2,

where the inverse trigonometric functions take their principal values (Β§4.23(ii)). The points x=(1βˆ’Ξ±2)1/2, x=1, and x=∞ are mapped to y=Ξ±2, y=0, and y=βˆ’βˆž, respectively. The interval 0≀x<∞ is mapped one-to-one to the interval βˆ’βˆž<y≀y0, where y=y0 is the (positive) solution of (14.15.21) when x=0.

For asymptotic expansions and explicit error bounds, see Boyd and Dunster (1986).

Β§14.15(v) Large Ξ½, (Ξ½+12)⁒δ≀μ≀(Ξ½+12)/Ξ΄

Here we introduce the envelopes of the parabolic cylinder functions U⁑(βˆ’c,x), U¯⁑(βˆ’c,x), which are defined in Β§12.2. For U⁑(βˆ’c,x) or U¯⁑(βˆ’c,x), with c and x nonnegative,

14.15.23 env⁒U⁑(βˆ’c,x) ={(U2⁑(βˆ’c,x)+UΒ―2⁑(βˆ’c,x))1/2,0≀x≀Xc,2⁒U⁑(βˆ’c,x),Xc≀x<∞,
env⁒U¯⁑(βˆ’c,x) ={(U2⁑(βˆ’c,x)+UΒ―2⁑(βˆ’c,x))1/2,0≀x≀Xc,2⁒U¯⁑(βˆ’c,x),Xc≀x<∞,

where x=Xc denotes the largest positive root of the equation U⁑(βˆ’c,x)=U¯⁑(βˆ’c,x).

As Ξ½β†’βˆž,

14.15.24 π–―Ξ½βˆ’ΞΌβ‘(x)=1(Ξ½+12)1/4⁒2(Ξ½+ΞΌ)/2⁒Γ⁑(12⁒ν+12⁒μ+34)⁒(ΞΆ2βˆ’Ξ±2x2βˆ’a2)1/4Γ—(U⁑(ΞΌβˆ’Ξ½βˆ’12,(2⁒ν+1)1/2⁒΢)+O⁑(Ξ½βˆ’2/3)⁒env⁒U⁑(ΞΌβˆ’Ξ½βˆ’12,(2⁒ν+1)1/2⁒΢)),
14.15.25 π–°Ξ½βˆ’ΞΌβ‘(x)=Ο€(Ξ½+12)1/4⁒2(Ξ½+ΞΌ+2)/2⁒Γ⁑(12⁒ν+12⁒μ+34)⁒(ΞΆ2βˆ’Ξ±2x2βˆ’a2)1/4Γ—(U¯⁑(ΞΌβˆ’Ξ½βˆ’12,(2⁒ν+1)1/2⁒΢)+O⁑(Ξ½βˆ’2/3)⁒env⁒U¯⁑(ΞΌβˆ’Ξ½βˆ’12,(2⁒ν+1)1/2⁒΢)),

uniformly with respect to x∈[0,1) and μ∈[δ⁒(ν+12),ν+12]. Here

14.15.26 a =((Ξ½+ΞΌ+12)⁒|Ξ½βˆ’ΞΌ+12|)1/2Ξ½+12,
Ξ± =(2⁒|Ξ½βˆ’ΞΌ+12|Ξ½+12)1/2,

and the variable ΞΆ is defined implicitly by

14.15.27 12⁒΢⁒(ΞΆ2βˆ’Ξ±2)1/2βˆ’12⁒α2⁒arccosh⁑(ΞΆΞ±)=(1βˆ’a2)1/2⁒arctanh⁑(1x⁒(x2βˆ’a21βˆ’a2)1/2)βˆ’arccosh⁑(xa),
a≀x<1, α≀΢<∞,

and

14.15.28 12⁒α2⁒arcsin⁑(ΞΆΞ±)+12⁒΢⁒(Ξ±2βˆ’ΞΆ2)1/2=arcsin⁑(xa)βˆ’(1βˆ’a2)1/2⁒arctan⁑(x⁒(1βˆ’a2a2βˆ’x2)1/2),
βˆ’a≀x≀a, βˆ’Ξ±β‰€ΞΆβ‰€Ξ±,

when a>0, and

14.15.29 ΞΆ2=βˆ’ln⁑(1βˆ’x2),
βˆ’1<x<1,

when a=0. The inverse hyperbolic and trigonometric functions take their principal values (Β§Β§4.23(ii), 4.37(ii)).

When a>0 the interval βˆ’a≀x<1 is mapped one-to-one to the interval βˆ’Ξ±β‰€ΞΆ<∞, with the points x=βˆ’a, x=a, and x=1 corresponding to ΞΆ=βˆ’Ξ±, ΞΆ=Ξ±, and ΞΆ=∞, respectively. When a=0 the interval βˆ’1<x<1 is mapped one-to-one to the interval βˆ’βˆž<ΞΆ<∞, with the points x=βˆ’1, 0, and 1 corresponding to ΞΆ=βˆ’βˆž, 0, and ∞, respectively.

Next, as Ξ½β†’βˆž,

14.15.30 π–―Ξ½βˆ’ΞΌβ‘(x)=1(Ξ½+12)1/4⁒2(Ξ½+ΞΌ)/2⁒Γ⁑(12⁒ν+12⁒μ+34)⁒(ΞΆ2+Ξ±2x2+a2)1/4Γ—U⁑(ΞΌβˆ’Ξ½βˆ’12,(2⁒ν+1)1/2⁒΢)⁒(1+O⁑(Ξ½βˆ’1⁒ln⁑ν)),

uniformly with respect to x∈(βˆ’1,1) and μ∈[Ξ½+12,(1/Ξ΄)⁒(Ξ½+12)]. Here ΞΆ is defined implicitly by

14.15.31 12⁒΢⁒(ΞΆ2+Ξ±2)1/2+12⁒α2⁒arcsinh⁑(ΞΆΞ±)=(1+a2)1/2⁒arctanh⁑(x⁒(1+a2x2+a2)1/2)βˆ’arcsinh⁑(xa),
βˆ’1<x<1, βˆ’βˆž<ΞΆ<∞,

when a>0, which maps the interval βˆ’1<x<1 one-to-one to the interval βˆ’βˆž<ΞΆ<∞: the points x=βˆ’1 and x=1 correspond to ΞΆ=βˆ’βˆž and ΞΆ=∞, respectively. When a=0 (14.15.29) again applies. (The inverse hyperbolic functions again take their principal values.)

Since (14.15.30) holds for negative x, corresponding approximations for π–°Ξ½βˆ“ΞΌβ‘(x), uniformly valid in the interval βˆ’1<x<1, can be obtained from (14.9.9) and (14.9.10).

For error bounds and other extensions see Olver (1975b).