See §§18.5(i) and 18.5(iii) for relations to trigonometric functions, the hypergeometric function, and generalized hypergeometric functions.
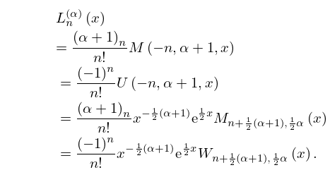
| 18.11.1 | |||
| . | |||
For the Ferrers function , see §14.3(i).
| 18.11.3 | ||||
| 18.11.4 | ||||
For the parabolic cylinder function , see §12.2.
| 18.11.5 | |||
| 18.11.6 | |||
| 18.11.7 | ||||
| 18.11.8 | ||||